Semmelweis University Department of Medical Biochemistry
Reverse Phase Protein Array (RPPA) is an antibody-based proteomic approach enabling the quantification of the abundance of multiple proteins across multiple samples. Briefly, samples (lysates from tissues, cell cultures, serum, plasma or other body fluids) are printed on nitrocellulose-coated glass slides in the form of a dot blot microarray, and probed with monospecific antibodies. Each slide may contain thousands of dots, and each dot contains the entire proteome of the lysed sample.
RPPA: Overview
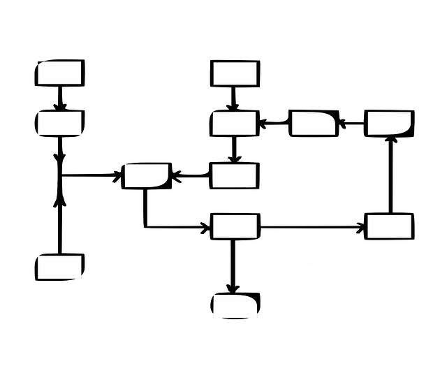
RPPA workflow is as follows:
Frozen tissue
Cell culture
Protein concentration of lysates adjusted to 1-2 mg/ml
Sample homogenization and extraction of proteins
Lysates loaded into 96-well plates
Lysates stored in dedicated ultrafreezers
Lysates loaded into 384-well plates in setial dilutions